Patrick Schmoll
L'Entreprise Inconsciente
Chapitre 5
LE RECRUTEMENT COMME SYMPTÔME
Plus on est de fous, plus on s'organise
Le recrutement du personnel est le métier de base de la gestion des ressources humaines. Il concentre dans ses différentes étapes un certain nombre d'opérations qu'on retrouvera développées dans nombre d'autres aspects de la gestion des ressources humaines : la définition du poste à pourvoir est un modèle de base de l'organisation du travail; la confection de la petite annonce met en oeuvre des techniques de communication; les méthodes d'entretien de sélection sont reprises dans l'entretien d'audit et dans l'entretien d'évaluation en interne.
Il est aussi une base de la gestion des ressources humaines parce qu'il en est le premier temps logique : avant de gérer le personnel, il faut le recruter. L'entreprise franchit l'étape de la création quand le ou les créateurs embauchent leur premier salarié. Dès qu'on est deux, l'organisation émerge en tant que distribution du travail, et donc, sauf cas de deux ou plusieurs associés au démarrage (que nous devrons aussi examiner), le recrutement est la première étape de cette émergence, un premier seuil de développement de l'entreprise. Seuil délicat car, s'il est inévitable que la création d'une entreprise emporte la passion de celui qui la crée, en embarquer d'autres peut devenir une folie à plusieurs. La conduite du recrutement conditionne donc souvent le succès ou les difficultés, voire l'échec d'une gestion à ses débuts.
On retrouvera donc dans cette opération de base du management un condensé de tous les problèmes de management rencontrés par le chef d'entreprise. C'est en quoi on peut dire que les procédures de recrutement pratiquées dans une entreprise sont une expression de son bon fonctionnement, éventuellement un symptôme de ses dysfonctionnements.
On retrouve ici les deux aspects déjà soulignés, fonctionnel et affectif-symbolique : l'entreprise est une organisation du travail en vue d'une production d'utilités, et elle est aussi le lieu d'investissements multiples, ambivalents et antagoniques, de la part de ceux qui y travaillent.
L'approche fonctionnelle du recrutement est incontournable : elle définit ce dernier comme le choix que fait une personne d'une autre à qui elle demande d'exécuter un travail ou de réaliser un objectif, en échange d'une rémunération. Pour cela, il est indispensable de définir le travail à faire ou les objectifs à atteindre (définition de poste), d'émettre sur le marché de l'emploi un message clair et motivant (petite annonce, recherche directe...) pour susciter un nombre suffisant de candidatures adéquates, et de sélectionner les candidats avec suffisamment de pertinence pour ne retenir que celui qui conviendra au poste. Des méthodes existent, - qu'il n'est pas dans l'objet de cet essai de détailler ici -, qui permettent de s'assurer qu'en bout de course, on est bien en face de quelqu'un qui, fonctionnellement, est adéquat au poste.
Nombre d'entreprises ne suivent pas ces méthodes, n'y étant pas formées, et ne veulent pas non plus faire l'investissement d'un consultant externe. La plupart des recrutements rencontrent des difficultés à cet endroit. On ne s'attardera pas à répéter l'argument qu'un recrutement raté coûte plusieurs fois plus cher que la prestation d'un consultant : coût du temps consacré par la direction et son secrétariat à réaliser le recrutement eux-mêmes; coût du temps consacré à informer et à former un collaborateur qui ne restera pas; éventuelles indemnités de licenciement; manque à gagner lié à la vacance d'un poste de travail; perte de clientèle liée au prolongement de cette vacance; pertes de production, de marge et de clientèle liées aux erreurs d'un collaborateur inadéquat; etc.
Ce qui nous retiendra pour notre propos, c'est le fait que, même si le recrutement est conduit dans les règles de l'art, débouchant sur l'embauche d'un candidat qui, même avec le recul, s'avère le plus adéquat fonctionnellement au poste, il existe pourtant des ratés.
Celles-ci se manifestent au bout d'un certain temps par une mauvaise entente entre le collaborateur recruté et son employeur, un empêchement du premier à intégrer l'esprit du second et la culture de l'entreprise : toutes difficultés dans lesquelles la subjectivité des protagonistes a une part telle qu'un suivi rationnel ne suffit pas à les lever, et qu'elles débouchent sur une séparation. Quand le recrutement en question a été réalisé avec l'assistance d'un consultant, celui-ci est évidemment dans ses petits souliers, car ses compétences risquent d'être mises en doute. Et lui-même s'interroge, car il pensait avoir mis dans l'opération le meilleur de lui-même et de sa technicité.
Ces difficultés sont plus fréquemment présentes dans les entreprises petites et jeunes qui, pour l'appréciation des qualités du collaborateur recruté (et des compétences du conseil en recrutement), rencontrent par définition deux obstacles : la taille réduite de l'entreprise, qui fait qu'elles ne peuvent pas compter sur un nombre important de collaborateurs déjà en place qui serviraient d'éléments de comparaison; et la jeunesse de l'entreprise, qui fait qu'elles n'ont pas une expérience suffisante de recrutements antérieurs. Le nouveau venu est donc jugé en lui-même, par référence à un idéal plutôt qu'à des précédents.
L'absence d'éléments de comparaison empêche la mesure, dans tous les sens du terme. L'insatisfaction de l'employeur s'exprime dans le tout-ou-rien : si le collaborateur recruté n'est pas "bon", c'est qu'il est "mauvais" (et le consultant probablement aussi); et si c'est le cas, il vaut mieux s'en séparer tout de suite plutôt que de commencer à "bricoler". On reprend donc la procédure de recrutement et, comme l'incompétence du recruté et/ou du consultant dispensent souvent d'avoir à chercher d'autres raisons au précédent échec, le même processus de recrutement peut conduire à la répétition des mêmes échecs.
C'est pourquoi, à l'époque bénie où les cabinets de recrutement pouvaient vivre sur un marché généreux et encore peu disputé, ceux qui, en raison de leur renom, avaient les moyens de choisir leurs clients préféraient ne pas démarcher les PME, qu'ils considéraient comme un enfer peuplé de despotes inaccessibles à une méthodologie, et généralement pingres de surcroît. Les PME étaient de ce fait souvent la proie de cabinets débutants, voire d'aventuriers, dont les résultats les laissaient déçus. La difficulté de vendre et de réaliser des prestations de conseil aux PME s'en est trouvée accrue.
La fragilité des petites entreprises et des entreprises nouvelles sur cette question renforce encore l'idée que le recrutement constitue un passage critique dans le développement de l'entreprise à ses débuts. Il importe donc d'approcher également les paramètres personnels et interpersonnels du recrutement pour repérer les principales lignes de rupture possible du processus.
L'objet du recrutement : une source de malentendu
Pour bien comprendre la difficulté d'un recrutement dans un contexte où les paramètres humains sont déterminants, il faut se pencher d'abord sur l'objectif de l'opération, et se rendre compte que, d'une part, l'objectif explicite, rationnel, d'un recrutement n'est que la partie apparente d'enjeux plus personnels, cachés ou simplement méconnus; et que, d'autre part, ces enjeux sont nécessairement différents pour l'employeur et pour le collaborateur pressenti.
Formellement, le recrutement est un processus qui va aboutir à un contrat entre deux personnes, l'une échangeant avec l'autre son travail contre une rémunération. Cet objectif situe le recrutement dans un système d'échanges, et plus précisément d'échanges marchands. Il positionne les deux acteurs, l'employeur et le salarié sur un même plan quant à leurs représentations personnelles de l'échange et du contrat, même si, par ailleurs, les termes de l'échange peuvent être plus favorables à l'un qu'à l'autre. Cet objectif suppose que l'employeur et le salarié tiennent le même type de raisonnement, qui peut être un raisonnement tactique, adéquat ou non à leurs besoins, mais qui est un raisonnement d'échange.
En restant dans ce mode de raisonnement et dans la croyance que l'autre tient le même type de raisonnement, nombre de salariés ont de leur patron la vision réductrice qu'il cherche simplement à les presser comme des citrons pour mieux se remplir les poches.
Leurs patrons n'ont évidemment pas la même perception des choses (même les plus tortionnaires, que les termes objectifs de l'échange mettent effectivement en position de presser leurs salariés comme des citrons). Comme nous l'avons souligné dans le chapitre précédent, un chef d'entreprise qui a pu traverser les difficultés de la création d'entreprise jusqu'à atteindre un niveau d'activité qui lui donne les moyens de commencer à recruter, a aussi vécu personnellement une mutation de sa philosophie : alors que l'entreprise n'est initialement pour le salarié qu'un moyen de gagner sa vie, elle est pour le chef d'entreprise une entité avec laquelle il entretient une relation qui n'est pas qu'une relation d'échange, mais une relation de don.
Un malentendu originel entre employeur et salarié résulte de ce que le recrutement implique en fait trois acteurs au moins (si l'on excepte le consultant qui peut se joindre au jeu), et non pas deux : le chef d'entreprise, le salarié et l'entreprise elle-même.
Le chef d'entreprise n'entretient pas avec son entreprise le même type de rapport qu'un salarié : il appartient à l'entreprise autant qu'elle lui appartient. De ce don de lui-même, il tire le pouvoir de donner à son tour quelque chose qui ne se monnaye pas : le chef d'entreprise, en recrutant un salarié, ne donne pas qu'un salaire en échange d'un travail, il donne un ticket d'entrée dans le monde du travail.
Pour comprendre et accepter cette idée, il nous faut à nouveau nous replacer dans une perspective anthropologique. A notre époque, où l'entreprise a pris la place des institutions traditionnelles comme lieu social de la réalisation de soi et de la reconnaissance par les autres, où l'humain adulte se définit, encore plus que par le passé, par la profession qu'il exerce, c'est-à-dire par son métier et par une rémunération, et où le chômeur est encore quelqu'un à qui il "manque" quelque chose, le chef d'entreprise, à son insu ou non, tient une place symbolique cruciale : il est le "passeur", celui qui introduit l'initié dans un nouveau système d'échanges. Il remplit en fait la même fonction symbolique que, dans les sociétés traditionnelles, un père pour son enfant.
A ce titre, le salarié contracte une dette. Il peut paraître surprenant, voire à certains scandaleux, que le fait de travailler pour un patron, non seulement n'ouvre pas toujours droit à une rémunération conforme, mais de surcroît fasse de vous un débiteur. C'est qu'il ne s'agit précisément pas d'une dette marchande, mais de la superposition à l'ordre des échanges marchands, d'un ordre symbolique, culturel, qui d'ailleurs, parce qu'il semble fonctionner à contresens, reste méconnu de ses acteurs.
Le recrutement n'introduit donc pas qu'une redistribution du travail au sein d'une organisation, mais aussi une répartition de statuts différents, entre un employeur et un employé, par rapport à l'entreprise. Et c'est à oublier ces différences de statuts que le recrutement s'expose à un risque d'échec.
L'oubli peut provenir aussi bien du salarié que du chef d'entreprise. Mais en général, si le salarié, naturellement porté à oublier sa dette, peut se comporter comme s'il était "l'égal" du patron, c'est que ce fantasme lui est autorisé, comme on le verra dans les exemples qui suivent, par la carence de ce dernier à assumer sa position. Autrement, il n'a pas en principe le loisir de développer ce fantasme très avant puisqu'il ne saurait y avoir place pour deux patrons : il est congédié assez vite, et la reprise du processus de recrutement ne donne pas lieu à une répétition de l'erreur. Dans les cas de répétition d'échecs similaires sur des recrutements, c'est donc plus fréquemment ce que nous avons appelé le point aveugle du dirigeant d'entreprise qui va déterminer différentes possibilités d'achoppement.
L'existence de deux types possibles de rapport à l'entreprise, deux statuts que pour simplifier nous nommons celui du salarié et celui du patron, détermine différents types de glissements dans l'oubli de leur différence.
1/ Nous devrons examiner d'abord le cas de figure où, avant qu'il y ait recrutement, il y a déjà organisation car l'entreprise a été créée par deux ou plusieurs associés, qui sont censément autant de patrons. Peut-on parler de recrutement mutuel ? Les glissements possibles sont alors, là aussi, de deux types : soit qu'un des associés prenne les autres pour des salariés; soit qu'inversement il se considère lui comme le salarié de ses associés.
2/ Dans le recrutement proprement dit, un glissement possible consiste à demander au salarié de prendre des responsabilités qui sont normalement celles du chef d'entreprise, ce qui revient à traiter le salarié comme s'il était un associé, sans le reconnaître comme tel. La position de chef d'entreprise impliquant notamment d'avoir à assumer toutes les responsabilités de l'entreprise, le point aveugle va consister, comme on l'a vu, soit en un évitement, le chef d'entreprise déléguant ce qu'il répugne à faire lui-même, soit dans une implication qui, au contraire, l'empêche de déléguer à quelqu'un d'autre qu'à un autre lui-même. Dans le premier cas, nous serons en présence d'un "recrutement démissionnaire". Dans le second cas, nous serons confronté au problème du recrutement d'un "mouton à cinq pattes" (quand on demandera au candidat d'avoir ses qualités propres, plus certaines du chef d'entreprise, et en tout cas plus de qualités qu'il n'est possible), ou d'un "clone" (quand on demandera au candidat d'avoir toutes les qualités du chef d'entreprise, et généralement aucun de ses défauts).
L'association : un recrutement mutuel ?
La répartition des responsabilités et du travail entre plusieurs personnes est une donnée initiale de l'entreprise, lorsque celle-ci est créée par plusieurs personnes qui y sont associées. Peut-on poser qu'il s'agit d'un recrutement mutuel des uns par les autres ? Doit-on y appliquer les méthodes classiques du recrutement ?
L'association se justifie objectivement par la complémentarité, requise par l'objet de l'entreprise, entre des compétences différentes, ou entre des compétences et des moyens financiers. Les deux cas de figure-type sont : 1/ l'association entre des professionnels qui apportent chacun leurs compétences : par exemple, un commercial, un technicien et un gestionnaire; 2/ l'association entre un porteur de projet et un finançeur.
L'expérience montre qu'il est rare que l'association initiale perdure dans les termes et les intentions qui avaient présidé à sa conclusion. Fréquemment, l'association connaît d'abord une lune de miel pendant laquelle tous les associés s'impliquent dans le démarrage de l'activité, chacun étant au four et au moulin même s'il existe une répartition initiale des tâches, et tous acceptant de se serrer la ceinture pour permettre à l'entreprise de passer le cap du seuil de rentabilité.
Les premiers signes d'essoufflement apparaissent en même temps que les signes d'un repositionnement différent des associés par rapport à l'entreprise. Nécessairement, parce qu'ils sont complémentaires et non identiques, tous n'ont pas les mêmes besoins personnels, les mêmes projets professionnels, ni les mêmes désirs et fantasmes s'étayant sur l'entreprise, et donc n'ont pas non plus la même implication dans l'entreprise, ni la même patience dans l'attente des résultats.
La contestation du projet par une partie des associés crée automatiquement un clivage, les autres associés étant conduits à choisir, soit de suivre la contestation, soit de défendre le projet contre les critiques. La logique de la communication dessine à l'insu des acteurs deux positions différentes. Les critiques deviennent des revendications, c'est-à-dire une demande, qui est adressée par les premiers aux seconds, ceux-ci étant placés en position de représenter l'entreprise. Il n'y a plus d'associés : les uns se comportent comme des employés qui s'adressent aux autres comme à des employeurs. Les associés qui deviennent ainsi l'adresse de cette demande sont de leur côté agacés d'avoir à gérer des problèmes internes avec des collègues dont ils attendaient qu'ils se comportent en égaux et prennent leur part des difficultés présentes comme du succès futur.
Cette crise est précipitée si, dès le départ, ce positionnement existait dans l'esprit des associés. Deux cas de figure sont à envisager :
1/ Si l'un des associés prend les autres pour des employés en leur distribuant du travail sans se rappeler et leur rappeler, ni leurs droits, ni leurs responsabilités.
2/ Si l'un ou plusieurs des associés se prennent d'eux-mêmes pour les employés des autres, tout en continuant à se considérer comme des égaux dans leur rapport à l'entreprise.
Les mouvements qui en résultent aboutissent généralement à ce que les associés qui se lassent les premiers, pour pouvoir retrouver une partie de ce qu'ils y ont mis, cèdent leurs droits en même temps que leurs obligations à l'un d'eux, plus impliqué, qui prend la direction de l'entreprise, voire son contrôle en leur rachetant tout ou partie de leurs parts sociales. On se retrouve dans la situation du chef d'entreprise unique ou associé avec des "sleeping partners". L'association s'avère n'avoir été qu'un épisode préludant à ce retour à une sorte de normalité.
Tout se passe donc comme s'il devait décidément n'y avoir qu'un seul père de l'entreprise : la figure du patron unique apparaît comme une condition du démarrage de l'entreprise. Le démarrage avec des associés semble devoir poser cette nécessité d'un seul dirigeant, auquel les autres associés reconnaissent cette place. Faute de quoi l'association appelle une crise qui ne trouve sa solution que dans ce retour à une forme prototypique.
Ce qui est très différent du cas de figure d'associés qui se rajoutent en cours de route, alors que l'entreprise a atteint un certain niveau d'activité et d'organisation : d'une part parce qu'ils ne peuvent que reconnaître l'antériorité du fondateur sur eux; d'autre part parce que l'association à ce moment-là répond à une autre logique, de développement, et non de création.
Le recrutement démissionnaire, ou la recherche du "Messie"
Par définition, le dirigeant d'entreprise doit assumer la responsabilité de toutes les fonctions de l'entreprise : il répond de sa bonne marche aux plans du commercial, de la production, de l'administration, des finances, etc. S'il doit pouvoir se reposer sur des collaborateurs pour l'exercice de ces fonctions, il est exclu que, si l'une de ces fonctions défaille, il se contente de les en accuser. La sanction, pour ces collaborateurs, sera au pire d'être congédié. Mais leur licenciement et ses plaintes n'empêcheront pas l'entreprise d'être en difficulté, et qu'en dernier ressort il porte la responsabilité d'un échec. On délègue des missions, pas les responsabilités.
Si un chef d'entreprise est tenté de déléguer une responsabilité, il signifie deux choses : 1/ il n'arrive pas à assumer toutes les dimensions de son statut de chef d'entreprise; 2/ il demande à un collaborateur salarié d'assumer à sa place ces dimensions, et le propulse à une place qui n'est pas la sienne, d'associé, voire de patron.
Ce glissement se produit du fait d'un point aveugle qui empêche le dirigeant, pour des raisons personnelles, d'assumer cette place. Prenons un exemple : le fils d'un père commercial, en conflit avec l'image de ce père qui a réussi sa carrière, réussit à son tour dans ses études et dans des métiers administratifs, techniques ou de conception, mais n'arrive pas à vendre ses réalisations et à se vendre lui-même, parce que cette place, qui est imaginairement celle du père, est pour lui impossible à prendre; il peut être tenté de recruter un commercial qui fera le travail à sa place, mais, ce faisant, ce qu'il va au fond lui demander, c'est de prendre sa place, qu'il n'arrive pas à assumer lui-même.
Fréquemment, d'ailleurs, c'est sur la fonction commerciale que va porter le point aveugle des créateurs d'entreprise (encore que les commerciaux qui se lancent dans la création d'entreprise ont leur propres points aveugles). Parce que c'est la fonction relationnelle par excellence, qui suppose de rencontrer l'autre, de le convaincre, de le séduire. Sur elle vont donc se focaliser nombre des problèmes de la structure personnelle du dirigeant, qui sont toujours des problèmes relationnels.
L'exemple le plus typique est celui des artisans, comme on l'a vu à propos des encadreurs, et d'une façon plus générale des créateurs d'entreprise qui ont une formation, une expérience et une culture fortement technique.
L'entreprise Df. est spécialisée dans la reproduction de documents pour le compte des entreprises (photocopies noir et blanc, et couleur) et bureaux d'études (tirage de plans). Elle a été créée par trois personnes qui travaillaient antérieurement dans une imprimerie et qui ont été licenciées en raison d'une compression d'effectifs. Ils ont mis en commun leurs indemnités et les aides dont ils pouvaient bénéficier, comme demandeurs d'emplois, pour la création d'entreprise. Tous trois travaillaient à la fabrication ou à l'administration, aucun n'est un commercial. Ils ne doutent pas qu'un bon travail appelle forcément une clientèle, aussi n'ont-ils pas fait d'étude de marché préalable. La première décision qu'ils ont prise a été d'investir dans un matériel de reprographie très moderne et très coûteux, qui leur assure, certes, un produit de haute qualité. Ils se sont installés dans des locaux dont le loyer est modéré, mais qui sont à l'écart des voies de circulation fréquentées. Ils mettent leur nouveau matériel à contribution pour éditer un document publicitaire, dont il font un mailing à destination de leur clientèle potentielle. Puis ils s'assoient derrière leurs bureaux et leurs machines pour attendre le premier client qui poussera la porte.
Celui-ci ne vient pas, en tous cas on ne se bouscule pas. Les associés songent alors à adopter une démarche commerciale plus active. Mais, comme aucun d'eux n'envisage d'aller toquer aux portes des entreprises et bureaux d'études, ils décident de recruter un attaché commercial pour faire ce travail.
Les candidats qui se présentent ne se bousculent pas non plus. Ils prennent la mesure du risque : une entreprise nouvellement créée, des associés qui n'ont pas évalué leur marché, une trésorerie déjà obérée par des investissements initiaux importants. La plupart ne donnent pas suite.
Reste un candidat qui a une courte expérience de la vente de photocopieurs et consommables. Il est embauché après avoir négocié une rémunération comportant une part fixe importante, sur le raisonnement qu'il faut lui garantir le démarrage puisque le marché est à ouvrir complètement; ce que les associés n'ont pu lui refuser, puisqu'il est le seul homme providentiel restant.
Pendant trois mois, le nouveau collaborateur va prospecter la clientèle potentielle, mais sans entrer aucune affaire. Il vivra donc confortablement sur son fixe et sur les frais de restaurant et de déplacement qui lui sont remboursés, sans contrepartie en termes de résultat. Les seules nouvelles affaires seront amenées par l'un ou l'autre des associés qui, par contre, se serrent la ceinture pour financer la rémunération et les frais de l'attaché commercial.
L'organisation de l'entreprise finit par offrir l'image d'une pyramide sur sa tête : un salarié payé comme un dirigeant, et des patrons qui, pendant ce temps, n'ayant plus les moyens d'embaucher d'autre personnel, balaient l'atelier, font les livraisons, etc. pour moins que le SMIC.
Le bon sens aurait voulu que les créateurs de l'entreprise assurent eux-mêmes, dès le départ, la prospection de la clientèle, ce qui leur aurait permis d'économiser la rémunération d'un commercial ou de gagner correctement leur vie au lieu de se priver. Les petits travaux et le balayage de l'atelier auraient pu être exécutés par un aide moins chèrement payé qu'un commercial, et dont le recrutement aurait été moins problématique.
Mais le refus d'assumer la fonction commerciale, point aveugle des associés, les conduit à demander à un collaborateur salarié de prendre leur place, créant les conditions d'une alternative perverse :
1/ Ou bien le candidat sollicité accepte cette place mais demande qu'elle soit nommée comme telle, et qu'il devienne associé dans l'entreprise (voire dirigeant, puisqu'il y a permutation des rôles, et que le commercial a pour tous une importance vitale). Ce que les associés ne sont pas prêts à entendre, et que les candidats ne proposeront de toute façon pas parce qu'ils sentent les risques qui pèsent sur la viabilité de l'entreprise.
2/ Ou bien le candidat jouera des manques de ses employeurs dans une stratégie à court terme (tant que ça dure). Et, de fait, la situation va durer quelques mois, alors que l'absence de résultat permettrait très vite de décider de se séparer de ce collaborateur. Mais s'il part, on se retrouve dans la nécessité d'avoir à assurer le commercial soi-même, ce à quoi on ne se résout pas. On lui fait des remarques molles, on lui trouve des excuses, on se satisfait de ses explications. L'échec même devient la preuve que l'action commerciale doit être difficile pour lui, et ne donne que moins envie de l'assurer soi-même. En fait, comment trouverait-on les mots pour lui reprocher de ne pas faire ce que soi-même on répugne à faire ?
Seul le principe de réalité fera loi : une fois les caisses vides, il faudra bien se séparer de ce collaborateur. Deux des associés de l'entreprise Df. vont se mettre sur la route et découvrir qu'ils n'ont pas autrement de difficulté à rentrer des affaires. Mais l'entreprise aura frôlé le dépôt de bilan.
Le "mouton à cinq pattes"
L'entreprise Fg. est un fabricant de meubles de l'Est de la France, spécialisé dans le meuble traditionnel en bois massif, copie d'ancien. Elle recherche un attaché commercial pour son développement à l'étranger, essentiellement Luxembourg, Allemagne et Suisse, où les goûts de la clientèle aisée restent encore tournés vers ces lignes d'ameublement.
Le profil requis est exigeant. Il s'agit d'un commercial qui doit ouvrir un marché pour un produit difficile parce que cher, conclure les affaires, suivre les chantiers jusqu'à leur achèvement, et éventuellement suivre le recouvrement des impayés. Il lui faut également une sensibilité "arts décoratifs" : le mobilier est proposé dans le cadre d'une étude globale d'agencement intérieur, le représentant de Fg. doit connaître le monde du meuble, être capable de produire une esquisse du projet qui permette au client de se représenter le mobilier futur dans son espace actuel. Le profil présente donc d'emblée deux aspects qui peuvent être contradictoires, en tout cas qui se présentent rarement chez un même homme : on demande un artiste commercialement agressif...
Au contact de Monsieur Fg., le chef d'entreprise, nous en ajoutons pour nous-même un troisième : dans l'esprit de notre interlocuteur, le collaborateur recherché doit aussi être un "bon père de famille".
En effet, Monsieur Fg. a repris l'entreprise de son père, et il en maintient rigoureusement la philosophie : le nom est connu, il est associé à une réputation de qualité des produits et au positionnement sur le marché du meuble traditionnel. La tradition et l'image du père sont très présentes. On les retrouve dans la conduite de l'entreprise où règne un bon climat, paternel sinon paternaliste.
Monsieur Fg. est lui-même tout à la fois un créatif, un commercial et un bon père de famille. Le profil du poste est celui d'un alter-ego. Monsieur Fg. recherche en fait un "bras droit", quelqu'un qui serait susceptible, avec le temps, de prendre une partie de la direction de l'entreprise. Et, dans l'esprit que nous évoquons, Monsieur Fg. souhaite, si l'on peut dire, avoir son "bras droit" sous la main : bien qu'il s'agisse d'un commercial itinérant, qui gagnerait à résider à proximité des grands axes de circulation, il lui demandera de s'installer dans le village où se trouve l'entreprise et son propre domicile.
Les qualités personnelles requises pour le poste sont, on le voit, difficiles à réunir sur un seul homme. On peut même craindre qu'elles soient par endroit incompatibles entre elles, et qu'une personne qui satisfasse complètement une attente du poste soit de ce fait même condamnée à échouer à d'autres. Il est compréhensible qu'un dirigeant attende de ses collaborateurs qu'ils aient ses qualités personnelles, puisque ce sont ces mêmes qualités qui lui ont permis, à lui, de développer l'entreprise, et qu'il souhaite que ce développement soit poursuivi dans les mêmes conditions. Mais un re-crutement sous ces conditions conduit à rechercher un collaborateur
1/ qui ait les qualités personnelles du patron,
2/ qui éventuellement n'ait pas un certain nombre de ses défauts, puisqu'il s'agit de les compenser,
3/ qui prenne la place du patron sans en avoir les prérogatives,
4/ contre une rémunération qui ne sera pas non plus celle du patron.
On doit donc se poser les questions suivantes :
1/ N'y a-t-il pas toutes les chances qu'un tel homme soit déjà dirigeant de sa propre entreprise ?
2/ S'il est sur le marché, ne risque-t-il pas de proposer ses compétences à un prix que l'entreprise ne voudra pas budgéter ?
3/ Si l'entreprise peut se le payer, deux personnes ayant la trempe d'un patron pourront-elles fonctionner ensemble ?
4/ Si, a contrario, on trouve un collaborateur qui ne soit ni trop cher, ni concurrentiel pour l'autorité du patron, n'y a-t-il pas des chances que ses qualités soient en retrait par rapport aux attentes ?
Nous avons coutume de prévenir nos clients que nous ne pourrons pas trouver le "mouton à cinq pattes". En fait, la nature humaine n'étant jamais connaissable exactement, et le marché du travail n'étant ni transparent, ni complètement élastique, on doit même se considérer comme chanceux quand on trouve le mouton à quatre pattes : l'adéquation exacte d'une personne à un poste est un fantasme que ne nourrissent que les dirigeants séduits par le discours commercial de certains cabinets de recrutement. Le sérieux nous oblige, au détriment de notre impact commercial, à être moins séducteur : nous proposons généralement plusieurs moutons à trois pattes, une méthodologie rigoureuse nous permettant seulement de préciser sur quelles pattes ils courent. Il revient toujours au client de prendre le risque du choix, risque qui est finalement celui de toute gestion, puisque gérer, c'est faire des choix entre différentes options, différemment insatisfaisantes, dont on n'a pu qu'anticiper les différentes conséquences avec des précisions diverses.
Dans le cas de ce recrutement, nous proposons en bout de course trois candidats qui présentent chacun de façon dominante l'une des qualités requises :
1/ Le "créatif". Il se présente à l'entretien vêtu de manière décontractée : costume en tissu léger et clair, belle cravate rouge. Il a une expérience de l'agencement de stands et de magasins, il est venu avec un press-book de réalisations séduisantes, bien que dans une ligne plus "design" que traditionnelle. Commercialement, il est habitué à prendre des contacts, mais davantage dans une démarche de relations publiques que pour décrocher une affaire difficile. Sur un plan plus personnel, esprit vif, brillant, ambitieux, il n'a rien du "bon père de famille". Ses rapports à l'autorité sont même probablement conflictuels : il a quitté ses employeurs précédents sur des différends plus ou moins vifs avec eux, il a créé à un moment sa propre entreprise mais n'a pas pu s'entendre avec ses associés. Il contourne nos questions sur ce point, nous dit rechercher une entreprise "qui ne soit pas une administration" et tique à l'idée d'avoir à habiter dans le même village que son patron.
2/ Le "commercial". Il a antérieurement été le directeur commercial d'un fabricant de meubles concurrent de la région. Il a procédé à une restructuration réussie de cette entreprise, à l'époque en difficulté, en assurant lui-même sur le terrain une part importante de la démarche commerciale. Il a démissionné, par cohérence avec lui-même, quand les propriétaires ont impliqué dans la marche de l'entreprise un partenaire qui a imposé une stratégie commerciale différente, non conforme selon lui à l'intérêt de l'entreprise. C'est un développeur, qui est susceptible de propulser l'entreprise Fg. en avant, mais peut-être au-delà de que Monsieur Fg. envisage. Il peut être un second patron de l'entreprise, si tant est que cela soit possible. Il n'est par contre ni un créatif, ni un "bon père de famille".
3/ Le "bon père de famille". C'est un architecte de formation, qui a travaillé dans plusieurs bureaux d'études, mais n'a qu'une faible expérience de l'agencement d'intérieur. Il a une expérience commerciale, dans les photocopieurs, mais ses qualités de négociateur ne ressortent pas à l'entretien : chaque fois que les entreprises où il travaillait ont dû dégraisser, il était dans la "charrette". Son employeur actuel se plaint qu'il ne vende pas assez. Nous ne l'aurions pas présenté, mais il connaît déjà Monsieur Fg., qui nous l'envoie pour avis. Ils se sont rencontrés plusieurs fois. Ils s'apprécient mutuellement sur un plan personnel, dans une relation de type père-fils : "Monsieur Fg., c'est quelqu'un qu'on aime bien écouter". Il est le plus susceptible de nouer avec son patron une histoire d'amour. Et, pour couronner le tout, il habite le village d'à côté.
La décision de notre client est d'ailleurs déjà prise, et après avoir écouté nos analyses et nos réserves sur les trois candidats, plus insistantes d'ailleurs sur le troisième, c'est celui-ci qu'il choisira néanmoins. Six mois plus tard, la période de grâce étant passée, les résultats ne suivent pas, les rapports se tendent, la déception de Monsieur Fg. est, à la mesure de ses attentes initiales, profonde. Le "mouton à cinq pattes" étant devenu la "cinquième roue du chariot", le collaborateur recruté est licencié sans avoir compris comment leurs relations ont pu en arriver là.
Pour comprendre l'échec de ce recrutement, il faut insister sur la manière dont opère le point aveugle dans ce que nous appelons la recherche du "mouton à cinq pattes".
La philosophie de l'entreprise, et donc sa gestion, sont l'expression de la philosophie personnelle de Monsieur Fg., elle-même reprise par lui de son père. L'image du meurtre du père réapparaît ici, ou plus exactement l'image d'un meurtre qui n'a pas pu être exécuté.
L'entreprise a été créée par le père de Monsieur Fg., menuisier attaché à son art, à la qualité de ses produits, à la satisfaction de ses clients. Il a appris son métier à son fils, qui a par la suite hérité de l'entreprise. Monsieur Fg. a su développer l'entreprise et asseoir sa notoriété, en maintenant cette qualité sur une ligne de produits inchangée dans son esprit. Dans la tradition de l'artisanat, le métier est transmis de père en fils et exercé en famille : le domicile est attenant à l'entreprise, qui a conservé son implantation dans le village parental. L'image du père est très présente, tant celle du fondateur de l'entreprise que celle de Monsieur Fg., lui-même père de famille : esprit de famille, convictions religieuses affirmées, costume de coupe sobre, voire stricte.
L'image du père n'est pas qu'un moteur, c'est aussi une pesanteur. Pour le développement de l'entreprise, d'abord : beaucoup d'énergie est consacrée à préserver cette philosophie, en développant l'entreprise en direction des marchés qui restent malgré tout encore ouverts à ce type de produit. On cherche donc à développer, mais pas dans n'importe quelle direction. Et, si un développement trop important devait menacer la philosophie de l'entreprise, on préférera ne pas la développer du tout. Monsieur Fg. préfère explicitement ne pas dépasser un certain niveau d'activité, qui modifierait la structure de production, obligerait à une démarche commerciale plus agressive, voire à un renouvellement des gammes, et impliquerait un autre mode de management et un autre climat d'entreprise, sans être assuré que la qualité soit maintenue.
Pour Monsieur Fg. lui-même, ensuite : Il ressent parfois ses responsabilités comme un boulet, il souhaite en fait développer l'entreprise pour qu'elle acquière un fonctionnement autonome, et qu'il puisse passer la main dans les meilleures conditions à un jeune Directeur Général. Il rêve de pouvoir se retirer dans une stricte fonction de bureau d'étude pour ne s'occuper que de création. Il ne garderait dans l'entreprise qu'un contrôle sur la ligne des produits, de manière à préserver la philosophie de l'entreprise.
On retrouve le rêve de patrons qui ont une culture de métier et qui caressent le souvenir du travail à l'atelier. Monsieur Fg. a su faire dépasser à son entreprise le stade de la production artisanale, mais tout se passe comme s'il n'avait pas fait le deuil de cette origine, et le passé perdu est projeté dans l'avenir comme un idéal à atteindre. Et probablement y a-t-il dans cette attente une souffrance à la mesure du temps qui passe, qui rend chaque jour plus manifeste l'impossibilité de ce rêve : car, plus l'entreprise se développe pour atteindre ou revenir à cet idéal, plus elle s'en éloigne.
L'entreprise était un métier, la transmission d'une tradition de père en fils. Et voilà qu'en se développant elle devient une organisation à laquelle participent d'autres acteurs, soumise à d'autres lois, celles du marché, de la rentabilité. Sa complexité et celle de son environnement diminuent la maîtrise que son dirigeant a de son destin : elle ne peut plus être ce pour quoi elle a été créée. Comme un enfant qui grandit, créature devenant autonome, elle devient étrangère à son créateur. Comme un enfant qui grandit, invité par son père à devenir un adulte, elle découvre ne pouvoir répondre à ses attentes qu'en le décevant.
Le malaise du chef d'entreprise est ici renforcé par l'héritage de son propre père : l'enfant n'est pas de lui. Il prend la place du père auprès d'une créature engendrée par ce dernier. Et cette créature a dû être de surcroît l'objet chéri du père, celui-ci lui a consacré une attention dont n'ont pas bénéficié ses (autres) enfants. Le père leur a même demandé d'y travailler, de le seconder dans le chérissement de l'entreprise. Les relations du dirigeant à son entreprise sont ambivalentes, teintées d'un ressentiment ancien et oublié. Il faut protéger cet enfant du père, mais aussi s'en distancier comme d'un objet vaguement incestueux.
Qu'elle grandisse donc, et se développe, pour qu'elle vole de ses propres ailes. Mais comment la développer tout en la maintenant telle que l'a transmise le père ?
Monsieur Fg. butte constamment sur la question de l'identification paternelle. Il ne peut intégrer la figure paternelle, qui est aussi celle du chef d'une entreprise, qu'en y collant imaginairement, en reproduisant strictement les idées de son père, en maintenant l'esprit de l'entreprise en l'état où il en a hérité, et en demandant de ce fait à son personnel, à ses collaborateurs, de répéter à leur tour les mêmes conduites. Or, ces identifications à des images rencontrent les limites du paradoxe qu'elles instaurent : il n'est possible d'être l'autre qu'en prenant sa place, donc en le détruisant, donc en se détruisant soi-même; plus on cherche à se constituer et à constituer les autres dans de telles identités, plus on s'efface et on efface les autres. Monsieur Fg. est contraint de rechercher dans le collaborateur recruté à la fois un père dont il serait le fils et un fils dont il serait le père. Et, l'ayant enfermé à cette place intenable, il lui faut répéter indéfiniment dans la réalité de licenciements de collaborateurs qualifiés "d'insuffisants", ce qui n'a pu s'opérer symboliquement : le meurtre, le dépeçage, et l'incorporation d'un morceau (et d'un morceau seulement) du père.
Le recrutement du "Numéro deux" et la question du "clone"
La recherche du "mouton à cinq pattes" trouve son expression la plus symptomatique quand il s'agit de recruter, non plus un collaborateur quelconque, mais un cadre, un adjoint de direction, qui va donc remplir une partie des missions et exercer une partie des prérogatives qui sont celles du chef d'entreprise lui-même : l'enjeu identitaire est encore plus important pour ce dernier, qui peut être tenté, là plus qu'ailleurs, de rechercher un collaborateur qui présente la totalité ou la plupart de ses propres qualités... et de ne pas supporter qu'il puisse éventuellement exister une telle personne.
Le "mouton à cinq pattes" devait présenter des qualités propres, en rapport avec ce que requérait le poste, plus certaines des qualités du chef d'entreprise : le problème résidait dans la difficulté de réunir toutes ces qualités sur une même personne. Dans le cas du recrutement d'un "Numéro deux", nous sommes fréquemment confrontés au problème plus radical de la recherche d'un collaborateur qui n'a pas de qualités propres, mais toutes les qualités du chef d'entreprise : c'est le problème du clone.
L'entreprise petite et moyenne rencontre au cours de son développement un certain nombre de seuils qui sont liés à des contraintes mécaniques, l'organisation devant se modifier dans sa structure, et dont la résolution est par contre conditionnée par des paramètres humains, à commencer par les dispositions personnelles du chef d'entreprise.
Le premier recrutement est certainement un de ces seuils, puisqu'il fait de l'entreprise (étymologiquement "espace entre deux personnes") cette organisation minimale qu'est le binôme entre un employeur et un employé, l'entreprise devenant à ce moment par définition plus et autre chose que l'entrepreneur seul. Nous avons détaillé plus haut les difficultés que pose le recrutement en général.
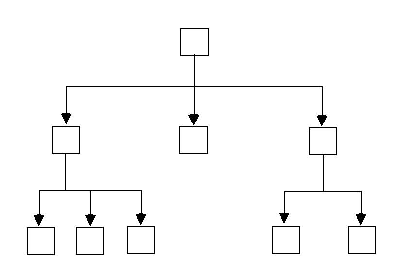
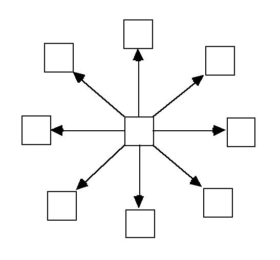
Un second seuil est rencontré lorsque l'entreprise procède au recrutement du premier cadre. Ce seuil est rencontré à la suite d'une limitation mécanique des fonctions du chef d'entreprise lorsque celle-ci atteint un effectif dont nous avons repéré qu'il était généralement compris entre 12 et 18 personnes. En effet, jusqu'à ce stade, le dirigeant assume la responsabilité de toutes les fonctions de l'entreprise : production, commercial, administration, etc. et l'organigramme présente une structure en étoile, chaque collaborateur étant en prise directe avec le patron :
Fig. 3
Atteint ce cap qui, selon les entreprises, leur secteur d'activité, la définition plus ou moins poussée des procédures de travail, etc. se situe entre 12 et 18 salariés, il devient difficile de maintenir cette structure d'organisation, pour deux raisons essentiellement :
1/ La première est liée à l'effectif considéré : il n'est plus possible que l'ensemble du personnel vienne frapper à la porte du patron pour lui demander d'intervenir sur tel problème ou leur dire ce qu'il y a à faire. Si le dirigeant tient guichet ouvert, il n'arrive plus à travailler.
2/ La seconde raison tient à la nature de ce travail. Jusque là, le dirigeant assurait la direction de l'ensemble des fonctions de l'entreprise. Or, l'évolution de l'effectif répond aussi à une évolution en volume de l'activité. Le chef d'entreprise ne peut donc plus tout à la fois rencontrer tous les clients, dont le nombre a augmenté, superviser l'atelier qui s'est étendu, contrôler l'exécution de toutes les tâches administratives. Il doit se spécialiser dans l'une de ces fonctions et déléguer l'animation des autres à des collaborateurs.
Il devient donc nécessaire de passer à une autre structure d'organisation des postes qui introduit un niveau intermédiaire entre le dirigeant et le personnel : l'encadrement. Les cadres sont les collaborateurs qui permettront, en même temps, que le dirigeant ne soit plus en prise directe avec l'ensemble de son personnel, et le déchargeront de certaines de ses activités pour qu'il puisse se spécialiser et se consacrer à celles dans lesquelles il est le plus efficace.
Fig. 4
Le problème organisationnel reçoit une première solution si un collaborateur déjà en place peut remplir l'une de ces fonctions. Parfois, l'épouse du dirigeant en remplit une autre, souvent la responsabilité de l'administration et de la comptabilité. Mais le seuil n'est vraiment abordé que lorsqu'un poste de cadre est pourvu à l'occasion d'un premier recrutement en externe. Le passage de ce seuil est subordonné aux dispositions personnelles du dirigeant, car il s'agit véritablement du recrutement de son "Numéro deux".
Nous avons déjà souligné que le recrutement pouvait fonctionner à cet endroit comme symptôme d'un point aveugle du dirigeant : celui-ci cherche un collaborateur qui ait certaines de ses qualités, pour un travail d'exécution qui ne requiert pas nécessairement ces dernières. Le symptôme est renforcé dans le cas des recrutement de cadres, car il s'agit cette fois de postes requérant effectivement des qualités de direction qui sont centralement celles du dirigeant. Le "Numéro deux" actualise le fantasme narcissique du "double". Et ce, non seulement chez le chef d'entreprise, mais aussi parmi le personnel.
Au cours de l'étude de poste préalable au recrutement, le dirigeant est porté, plus que dans le recrutement de personnels d'exécution, à demander de ce collaborateur qu'il ait les mêmes qualités que lui. Ce qui est légitime, puisque ce sont ces mêmes qualités qui ont permis au dirigeant de développer son entreprise jusqu'à ce stade, et qu'il ne peut envisager la poursuite de ce développement sur les même principes qu'en demandant à son "bras droit" d'avoir la même approche. Nous avons souligné les contradictions, voire le paradoxe, de ces attentes : 1/ qu'il ait les qualités du patron, 2/ qu'il n'ait pas ses défauts, 3/ qu'il ne prenne pas la place du patron.
Mais le personnel lui-même nourrit certaines attentes vis-à-vis de ce nouveau-venu. Jusque là, il était en prise directe avec le patron, entretenant avec lui une relation qui est aussi affective. Or, voici que le patron leur impose un intermédiaire entre eux et lui. On ne peut pas le refuser, il n'est même pas pensable de nommer les choses telles que nous les formulons : le chef d'entreprise s'entend bien avec son personnel, le climat est peut-être même familial, mais tout-de-même, une entreprise est faite pour travailler et gagner de l'argent, pas pour être le théâtre de psychodrames particuliers, ou alors elle dépose son bilan. La rationalité du monde du travail s'impose à tous comme la manière de penser les relations au travail : on a un nouveau chef, il faut faire avec. Pourtant, celui-ci va être l'objet d'un certain nombre d'attentes, d'espoirs et d'inquiétudes, et qui vont remarquablement fonctionner sur le même modèle que celles du dirigeant. On attend de lui : 1/ qu'il ait les mêmes qualités que le patron, 2/ qu'il n'ait pas les mêmes défauts, 3/ qu'il ne se prenne pas pour le patron.
Tant par le haut que par le bas, le nouveau venu est donc aplati dans l'injonction paradoxale d'avoir à être le patron, de l'être même là où le patron défaille, mais de ne pas prendre sa place : or, plus il le supplée, plus il l'affaiblit.
Si le collaborateur nouvellement recruté ne décode pas cette situation, ou bien il prendra des initiatives qui ne seront pas dans les habitudes de la maison; le personnel viendra en faire la remarque au patron, qui sera d'autant plus sensibilisé que lui-même ne comprend pas ces initiatives, et le nouveau venu finira pas rassembler sur lui les opinions négatives cohérentes, tant de ses subordonnés que de son supérieur hiérarchique; ou bien il sera pris dans "l'impossible nécessité" d'être parfait (patron) en restant imparfait (second), et ce vis-à-vis de deux acteurs : le patron et le personnel, qui n'ont pas forcément la même conception de la perfection. L'impossibilité conduit à un clivage, le collaborateur étant constamment dans un décalage à rattraper par rapport à la perfection, il ne peut plus offrir que l'image de cette perfection, la réalité prenant du retard. Il se met à promettre ce qu'il ne peut tenir, à commettre des erreurs par manque de temps ou d'attention, à les dissimuler pour préserver l'image, ce qui conduit progressivement à l'erreur professionnelle grave.
Un seuil d'achèvement de la PME : le recrutement du dirigeant
Le recrutement n'est pas forcément que le symptôme d'un dysfonctionnement de l'organisation. Adéquatement conduit, il est aussi le signe d'un fonctionnement qui se déroule bien, à travers les différentes phases du développement de l'entreprise. Nous examinerons dans le chapitre suivant quelques axes de réflexion pour un management des PME. L'exemple même du recrutement qui marque le succès du management d'une PME, et en fait l'achèvement de sa maturation comme organisation, est un recrutement qui pourrait apparaître comme paradoxal : le recrutement du dirigeant lui-même.
Si elle passe les seuils du premier recrutement, puis du recrutement du "numéro deux", et qu'elle est conduite par un dirigeant qui a su en faire, avec son personnel, autre chose qu'un prolongement ectopique de sa propre personne, l'entreprise est partie pour poursuivre un développement durable.
Quand la PME cesse-t-elle d'être "petite et moyenne" pour devenir une grande entreprise ? En fonction de définitions déjà entrevues, on dira que c'est quand elle dépasse un certain nombre, arbitraire, de salariés, ou quand le dirigeant devient incapable, en raison de l'effectif, de reconnaître par leur nom tous ses salariés. Mais au plan psychosociologique où nous nous sommes situés, qui définit la PME par la présence et la proximité du dirigeant à son personnel, le passage à la grande entreprise est aussi une question de maturation : le seuil ultime à franchir est celui qui permet à l'entreprise de se passer définitivement de son fondateur. Le meurtre du père est alors accompli.
Le passage de ce seuil détermine les différences les plus importantes entre des PME de taille identique : leur identité et leur culture n'est pas la même selon qu'elle est dirigée par son fondateur, ou qu'elle a été reprise d'un père par un fils, ou d'un cédant par un acquéreur, ou enfin qu'elle est une création de toute pièce d'un groupe plus important qui y a nommé dès le départ un dirigeant qui est en fait un salarié.
Ce dernier cas de figure est le modèle de l'aboutissement de la maturation d'une entreprise. Elle correspond d'ailleurs à une évolution historiquement récente du capitalisme, qui tend, en fonction précisément d'impératifs de gestion rationnelle des organisations, à distinguer les propriétaires de l'entreprise, ses actionnaires, de ceux qui la dirigent et qui sont choisis par les premiers pour leurs seules compétences (techniques, mais surtout relationnelles). Ainsi, les fondateurs ou leurs héritiers se retirent pour laisser la place à une gestion débarrassée des contraintes du souvenir.
Ce schéma, qui est la règle dans les grandes entreprises, peut être un choix pour une PME, notamment quand le développement a conduit à introduire dans le capital des partenaires qui ont fini par prendre un poids plus important que le fondateur. Le recrutement d'un dirigeant devient alors le dernier seuil à franchir pour consacrer l'achèvement de l'entreprise comme organisation, c'est à dire son affranchissement de son fondateur.
En fait, bien que l'objectif du recrutement obéisse à des impératifs rationnels, les critères retenus pour le choix d'un dirigeant ne seront pas que technico-professionnels : l'affectif y a sa place.
De fait, le recrutement de dirigeants nous confronte à la nécessité de trouver des candidats qui, non seulement soient d'une compétence à toute épreuve sur les plans techniques et comme animateur d'hommes, mais puisqu'on leur demande d'assumer la fonction du patron avec ses exigences, il faut qu'ils soient susceptibles de tomber amoureux de l'entreprise, de s'identifier à elle pour la servir au-delà de ce qu'un simple salarié serait prêt à donner.
Comment définir le profil d'un dirigeant qui n'est pas propriétaire de son entreprise ? Si le fondateur peut être considéré comme le père de l'entreprise, le recrutement va consister à trouver à cette dernière quelqu'un qui se sente l'âme d'un père adoptif.
Chapitre suivant


Retour au sommaire de l'ouvrage

Retour à l'accueil
|